Google Metrics

Conferences, Symposia, and Invited Talks

C57. Robidart J, Yamahara K, Allan EA, Wilson WH, Birch J, Craw P, Edson E, Engstrom IB, Fukuba T, Govindarajan A, Martins AM, Parsons KM, Sieben VJ, Thomas A, Wilson I, Scholin CA. (2026). A state-of-the-art review of aquatic eDNA sampling technologies and a roadmap to accelerate their development and implementation. Ocean Sciences Meeting 2026. Glasgow, Scotland, February 22-27, 2026.

C56. Tolman J, Grundke I, Luy E, Hendricks A, Else B, James T, Sieben V, LaRoche J. (2025). Deployment of a cold-adapted automated eDNA sampler in the South Shetland Islands during the Canadian Antarctic Research Expedition 2025. ArcticNet's Annual Scientific Meeting (ASM) 2025. Calgary, Canada, December 15-18, 2025.

I55. Sieben V. (2025). A submersible eDNA sensor for marine mammal detection. 2nd Marine Omics Technology and Instrumentation Workshop, MOTI 2025, Hobart, Australia, November 4-6, 2025.

C54. Motahari S, Zabihihesari A, Sieben V. (2025). Droplet Microfluidic Sensor for High Spatiotemporal Measurements in Marine Environments. The 29th International Conference on Miniaturized Systems for Chemistry and Life Sciences (µTAS 2025), Adelaide, Australia. November 2-6, 2025.

C53. Zabihihesari A, Motahari S, Sonnichsen C, Sieben V. (2025). Optimized Micromixer Design for Reagent- and Power-Efficient In Situ Total Alkalinity Analysis in an Autonomous Lab-on-a-chip System. The 29th International Conference on Miniaturized Systems for Chemistry and Life Sciences (µTAS 2025), Adelaide, Australia. November 2-6, 2025.

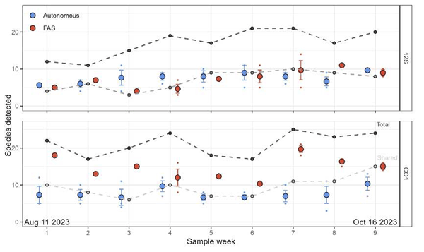
C52. Wyngaarden M, Jeffery N, Horne E, Clemente-Carvalho R, Lemay M, Grundke I, Luy E, Hendricks A, Sonnichsen C, Sieben V, LaRoche J, Beiko R, Furlong A, Knox T, Pettitt-Wade H, Stanley R. (2024). Evaluating an Autonomous eDNA Sampler for Marine Environmental Monitoring: Short- and Long-Term Applications. OCEANS 2024, Halifax, NS, Canada, 2024, pp. 1-8.
DOI: 10.1109/OCEANS55160.2024.10753841

C51. Motahari S, Sonnichsen C, Whitworth A, Zabihihesari A, Burt W, Sieben V. (2024). Lab-on-Chip Total Alkalinity Sensor for Highly Resolved, Efficient, and Long-Term Monitoring, Reporting, and Verification (MRV) of Ocean Alkalinity Enhancement. OCEANS 2024, Halifax, NS, Canada, 2024, pp. 1-6.
DOI: 10.1109/OCEANS55160.2024.10754292

C50. Park K, Sieben V. (2024). A Fast and Precise Digital Lock-In Amplifier for Accessible in-situ Fluorometry. OCEANS 2024, Halifax, NS, Canada, 2024, pp. 1-5.
DOI: 10.1109/OCEANS55160.2024.10754552

C49. Sonnichsen C, Luy E, Hendricks A, Grundke I, Hendricks B, El-Beshbeeshy K, Roberts G, Wright M, LaRoche J, Beiko R, Hanlon J, Race R, Furlong A, Knox T, Tolman J, Myles S, Tavasoli M, Sieben V. (2024). Towards an Automated, in-situ Environmental DNA Sensor for Detection of Marine Species. OCEANS 2024, Halifax, NS, Canada, 2024, pp. 1-7.
DOI: 10.1109/OCEANS55160.2024.10753699

C48. Luy E, Geraldi N, Horwood N, Grundke I, Hendricks A, LeRoux J, Sonnichsen C, Ebanks T, Knox T, Goymer B, Beiko R, LaRoche J, Furlong A, Sieben V. (2024). Automated environmental DNA (eDNA) Sampling Using an Optimized Filter Cassette for High Volume Filtration. OCEANS 2024, Halifax, NS, Canada, 2024, pp. 1-7.
DOI: 10.1109/OCEANS55160.2024.10754477

C47. Motahari S, Zabihihesari A, Sonnichsen C, Hendricks A, Sieben V. (2024). High-throughput titration via segmented-flow in a lab-on-a-chip device for environmental sensing applications. The 28th International Conference on Miniaturized Systems for Chemistry and Life Sciences (µTAS 2024), Montreal, Canada. October 13-17, 2024.
DOI: 10.70477/LXZJ4627

I46. Sieben V. (2023). eDNA samplers and analyzers enabled by lab-on-chip technologies. 1st Marine Omics Technology and Instrumentation Workshop, MOTI 2023, Monterey, USA, October 10-12, 2023.

S45. Sonnichsen C, Atamanchuk D, Hendricks A, Morgan S, Smith J, Grundke I, Luy E, Sieben V. (2023). An Autonomous Microfluidic Sensor for in-situ monitoring of Total Alkalinity. Ocean Visions Biennial Summit, Atlanta, Georgia, USA. April 4-6, 2023.

C44. Hendricks A, Mackie C, Luy E, Creelman J, Sonnichsen C, Miller L, Wright M, Grundke I, Smith J, Tavasoli M, Beiko R, Furlong A, LaRoche J, Sieben V. (2023). The smart eDNA sampler. The 57th Canadian Meteorological and Oceanographic Society (CMOS) congress, St. Johns, NL, Canada. May 28-June 1, 2023.

IT43. Sieben V. (2023). eDNA sampler for monitoring Marine Protected Areas (MPA), Ocean Technology and Innovation Series Pitch for the Fifth International Marine Protected Areas Congress (IMPAC5), Vancouver, Canada. February 4-7, 2023.

C42. Hendricks A, Mackie C, Luy E, Sonnichsen C, Miller L, Wright M, Grundke I, Smith J, Creelman J, Tavasoli M, Furlong A, Beiko R, LaRoche J, and Sieben V. (2022). A miniaturized and automated eDNA sampler: application to a marine environment. OCEANS, Hampton Roads, United States of America. IEEE. October 17- 20, 2022.
DOI/Link: 10.1109/OCEANS47191.2022.9977218

C41. Luy E, Smith J, Grundke I, Sonnichsen C, Morgan S, Furlong A, and Sieben V. (2022). Simultaneous in situ Nitrate and Orthophosphate Measurement Using a Dual Chemistry Microfluidic Sensor. OCEANS, Hampton Roads, United States of America. IEEE. October 17-20, 2022.
DOI/Link: 10.1109/OCEANS47191.2022.9976956

C40. Hajati M, Sieben V, and Ponomarenko S. (2022). Airy Beams on Incoherent Background. Photonics North, Niagara Falls, Canada. May 24-26, 2022.
DOI/Link: 10.1109/PN56061.2022.9908249

C39. Hendricks A, Mackie C, Luy E, Sonnichsen C, Smith J, Grundke I, LaRoche J, and Sieben V. (2022). The Smart eDNA sampler. Ocean Frontier Annual Conference: Science, Industry, Policy for Climate Action, Halifax, Canada. May 15-19, 2022.

C38. Morgan S, Hendricks A, and Sieben V. (2022). Improvements to colorimetric absorbance measurement techniques for nutrient analysis on microfluidic devices. Ocean Frontier Annual Conference: Science, Industry, Policy for Climate Action, Halifax, Canada. May 15-19, 2022.

C37. Sonnichsen C, Atamanchuk D, Wallace D, and Sieben V. (2022). An automated microfluidic sensor for in situ determination of total alkalinity. Ocean Frontier Annual Conference: Science, Industry, Policy for Climate Action, Halifax, Canada. May 15-19, 2022.

C36. Motahari S, Tavasoli M, Fraser T, Smith C, Roberts D, and Sieben V. (2022). A lab-on-chip fish welfare sensor for application in aquaculture. Ocean Frontier Annual Conference: Science, Industry, Policy for Climate Action, Halifax, Canada. May 15-19, 2022.

C35. Morgan S, Luy E, Miller L, Pittman M, Phelan K, Wright M, Furlong A, and Sieben V. (2021). In situ phosphate analysis using inlaid microfluidics. The 25th International Conference on Miniaturized Systems for Chemistry and Life Sciences (µTAS 2021), Palm Springs, United States of America. October 10-14, 2021.

C34. Morgan S, Luy E, Miller L, Pittman M, Phelan K, Wright M, Furlong A, and Sieben V. (2021). An In Situ Phosphate Analyzer for Marine Environments Using Inlaid Microfluidics. OCEANS, San Diego, United States of America. IEEE. September 20-23, 2021.
DOI/Link: 10.23919/OCEANS44145.2021.9706097

S33. Sieben V. (2020). Moving Lab on Chip Systems to the Field. Blue Innovation Symposium, Newport, United States of America. January 14-16, 2020.

C32. Khosravi R, Rodriguez C, Sieben V. (2020). Evaluation of crude oil asphaltene deposition inhibitors by surface plasmon resonance. 22nd Photonics North Conference, Niagara Falls, Canada, May 26-28, 2020.
DOI/Link: 10.1109/PN50013.2020.9166967

C31. Khosravi R, Che F, Felix C, Hajati M, Ponomarenko S, Sieben V. (2020). Novel plasmonic sensor for real-time monitoring of resin cure. International Association for Dental Research 98th General Session - Washington, D.C., USA, March 18-21, 2020.

C30. Sieben V. (2020). Microfluidic Nitrate and Phosphate Sensors for Marine Environments. Oceanology International, London, UK. Talk postponed to December 1-3, 2020 due to COVID-19.

C29. Murphy B, Morgan S, Luy E, Creelman J, Sieben V. (2019). Lab-on-a-chip Sensor of In Situ Nutrient Monitoring. OCEANS 2019, Seattle, USA: The IEEE Oceanic Engineering Society. October 27-31, 2019.
DOI/Link: 10.23919/OCEANS40490.2019.8962689

C28. Morgan S, Luy E, Sieben V. (2019). Inlaid Microfluidics for Nutrient Monitoring. The 23rd International Conference on Miniaturized Systems for Chemistry and Life Sciences (µTAS 2019), (pp. 1714-1715). Basel, Switzerland: Chemical and Biological Microsystem Society. October 27-31, 2019.

C27. Beiko R, Dean-Moore J, Furlong A, LaRoche J, Sieben V. (2019). Environmental DNA in energy and monitoring applications. energy3 conference, Halifax, October 16-18, 2019.

C26. Fennel K, Azetsu-Scott K, Babin M, Boss E, Claustre H, Davidson F, Devred E, Finkel Z, Greenan B, Hamme R, Hill P, Johnson K, Kienast S, Kortzinger A, Passow U, Richards C, Sieben V, Waite A, Wallace D. (2019). A biogeochemical Argo array for the northwestern North Atlantic. OceanObs'19, Honolulu, Hawaii, USA. September 16, 2019.

S25. Luy E, Morgan S, Sieben V. (2019). Low-cost Microfluidic Nutrient Sensors. Marine Environmental Observation, Prediction and Response Annual Science Meeting. Victoria, Canada. June 11 - 14, 2019.

C24. Sieben V, Kharrat A, Mostowfi F. (2013). Novel measurement of asphaltene content in oil using microfluidic technology (Article SPE-166394-MS). Society of Petroleum Engineers. SPE Annual Technical Conference and Exhibition (ATCE), New Orleans, United States. September 29 - October 2, 2013.
DOI: 10.2118/166394-MS

C23. Mostowfi F, Sieben V, Kharrat A. (2013). Measurement of asphaltene content using a microfluidic platform. Petrophase 2013 Book of Abstracts. Petrophase, Paris, France. June 10-13, 2013.

C22. Pierobon S, Ooms M, Sieben V, Sinton D. (2012). A scalable evanescent light-based photobioreactor (Article 6326171). IEEE Xplore. Conference on Lasers and Electro-Optics (CLEO), San Jose, United States. May 6-11, 2012.
DOI/Link: 10.1364/CLEO_SI.2012.CW1G.4

C21. Ooms M, Sieben V, Pierobon S, Sinton D. (2012). Plasmon enhanced cultivation of cyanobacteria for bioenergy (Article 6326169). IEEE Xplore. Conference on Lasers and Electro-Optics (CLEO), San Jose, United States. May 6-11, 2012.
DOI/Link: 10.1364/CLEO_SI.2012.CW1G.2

C20. Ooms M, Sieben V, Erickson D, Sinton D. (2011). An optofluidic photobioreactor strategy for bioenergy (IMECE2011- 64024). ASME International Mechanical Engineering Congress and Exposition - IMECE, Denver, USA, 11, pp. 629-631, November 11-17, 2011.
DOI/Link: 10.1115/IMECE2011-64024

C19. Ogilvie I, Sieben V, Floquet A, Zmijan R, Mowlem M, Morgan H. (2010). Rapid fabrication of microfluidic devices. The 14th International Conference on Miniaturized Systems for Chemistry and Life Sciences (µTAS 2010), Groningen, Netherlands, October 3-7, 2010.

C18. Sieben V, Beaton A, Floquet C, Abi Kaed Bey S, Ogilvie I, Waugh E, Mowlem M, Morgan H. (2010). Autonomous Microfluidic Sensors for Nutrient Detection. The 14th International Conference on Miniaturized Systems for Chemistry and Life Sciences (µTAS 2010), Groningen, Netherlands, October 3-7, 2010.

C17. Sieben V, Floquet F, Abi Kaed Bey S, Ogilvie I, Waugh E, Beaton A, Mowlem M, Morgan H. (2010). The Development of Autonomous Microfluidic Sensors for Nutrient and Trace Metal Detection. 14th Biennial Challenger Conference for Marine Science, Southampton, UK, Sept. 6-10, 2010.

C16. Legiret F, Sieben V, Mowlem M, Woodward M, Connelly D, Achterberg E. (2010). High-resolution Microfluidic Phosphate Sensor for in situ Measurements. 14th Biennial Challenger Conference for Marine Science, Southampton, UK, Sept. 6-10, 2010.

C15. Ogilvie I, Sieben V, Floquet C, Zmijan R, Mowlem M, Morgan H. (2010). Solvent processing of PMMA and COC chips for bonding devices with optical quality surfaces. 14th Biennial Challenger Conference for Marine Science, Southampton, UK, Sept. 6-10, 2010.

C14. Floquet C, Sieben V, Milani A, Joly E, Ogilvie I, Morgan H, Mowlem M. (2010). Nanomolar detection with high sensitivity microfluidic absorption cells manufactured in tinted PMMA for chemical analysis. 14th Biennial Challenger Conference for Marine Science, Southampton, UK, Sept. 6-10, 2010.

C13. Milani A, Mowlem M, Floquet C, Sieben V, Keyed-Bey S, Waugh E, Brown R, Fowler L, Statham P, Connelly D, Morgan M. (2010). Micro-sensing technology for in-situ low level detection of Fe and Mn in seawater. 14th Biennial Challenger Conference for Marine Science, Southampton, UK, Sept. 6-10, 2010.

C12. Beaton A, Sieben V, Keyed-Bey S, Waugh E, Mowlem M. (2010). Microfluidic colourimetric nutrient analyser characterised under deep-sea environmental conditions. 14th Biennial Challenger Conference for Marine Science, Southampton, UK, Sept. 6-10, 2010.

IT11. Griffiths G, Sieben V. (2010). Micro-sensor systems for physical, chemical, and biological metrology in harsh environments. Canada-UK Ocean Technologies Forum, London, UK, Mar. 12, 2010.

C10. Sieben V, Debes-Marun C, Kaigala G, Behnam M, Sims C, Olanrewaju A, Pilarski L, Backhouse C. (2008). Integration of magnetic bead sample preparation with interphase fluorescence in-situ hybridization on a single microfluidic chip. The 12th Nanotech-Montreux, Switzerland, Nov. 17-19, 2008.

C9. Kaigala G, Behnam M, Sieben V, Poshtiban N, Bidulock A, Olanrewaju A, Lim C, Bergen C, Booth J, Pilarski L, Backhouse C. (2008). Molecular diagnostics: From clinical sample to answer - Integration of sample preparation with genetic amplification and analysis/detection. The 12th Nanotech-Montreux, Switzerland, Nov. 17-19, 2008.

C8. Behnam M, Kaigala G, Sieben V, Poshtiban N, Bidulock A, Bergen C, Choi S., Quijada J, Ho S, Olanrewaju A, Lauzon J, Johnstone R, Elliott D, Pilarski L, Backhouse C. (2008). Medical diagnostics in your hand (and on your desk). The 12th Nanotech-Montreux, Switzerland, Nov. 17-19, 2008.

C7. Sieben V, Debes-Marun C, Pilarski L, Backhouse C. (2008). An integrated microfluidic FISH chip: enumerating chromosomes on a cell-by-cell basis in less than 1 hour. The 12th International Conference on Miniaturized Systems for Chemistry and Life Sciences (µTAS 2008), San Diego, USA, October 12-16, 2008.

C6. Pilarski P, Sieben V, Debes-Marun C, Backhouse C. (2007). Computer vision for FISH screening in myeloma. The XIth International Workshop on Multiple Myeloma, Haematologica 92 (6): 108-108 Suppl. 2, KOS island, Greece, June 25-30, 2007.

C5. Sieben V, Debes-Marun C, Pilarski P, Kaigala G, Pilarski L, Backhouse C. (2007). Microchips for optimized FISH screening in myeloma. The XIth International Workshop on Multiple Myeloma, Haematologica 92 (6): 64-65 Suppl. 2, KOS island, Greece, June 25-30, 2007.

C4. Sieben V, Debes-Marun C, Pilarski P, Kaigala G, Pilarski L and Backhouse C. (2007). FISH AND CHIPS: Chromosomal analysis utilizing microfluidic platforms. Nanotechnology in Biomedicine (Keystone), Tahoe City, California, USA, June 11-16, 2007.

C3. Sieben V, Backhouse C. (2007). A microfluidic chip for the electrophoretic separation and post-column labelling of DNA. Microscale Bioseparations (21st MSB, formerly HPLC), Vancouver, Canada, January 14-18, 2007.

C2. Debes-Marun C, Sieben V, Pilarski P, Reiman T, Belch A, Backhouse C, Pilarski L. (2006). FISH and Chips: Novel, Point of Care Technology to Detect Chromosomal Abnormalities. ASH Annual Meeting Abstracts, Blood, vol. 108, pp. 3402-, Orlando, USA, December 9-12, 2006.
DOI/Link: 10.1182/blood.V108.11.3402.3402

C1. Pilarski P, Sieben V, Debes-Marun C, Backhouse C. (2006). An artificial intelligence system for detecting abnormal chromosomes in malignant lymphocytes. Canadian Society for Immunology Annual Conference, p. 126, Halifax, Canada, June 9-12, 2006.